Column避難安全検証法使いこなし術

(64)徹底解説「避難時間判定法」 第2回 居室避難開始時間

2026/01/20

  • 避難時間判定法(ルートB1)

表紙写真.jpg

 避難安全検証の第1段階では、出火室内の在館者が、煙に曝されることなく、出火室の外へ安全に避難できることを確認します。在館者が存在する室は、建築基準法上「居室」と定義されているため、各居室ごとに火災の発生を想定し、煙に曝されることなく室外への避難が可能であるかを確認します。これを「居室検証」と呼びます。
 居室検証を行うには以下の時間を算出します。
 ①居室避難開始時間
 ②居室の出口の1に達するまでに要する歩行時間
 ③居室出口通過時間
 ④居室煙降下時間
 これらの数値から、④居室煙降下時間よりも、避難完了時間(①避難開始時間+②歩行時間+③出口通過時間)が短いことを確認します。
 今回は①居室避難開始時間についての解説です。

居室避難開始時間

 避難開始時間は、火災情報が伝達され避難開始を判断して行動に移すまでの時間です。
 国土交通省告示510号には以下の通り示されています。

一 建築基準法施行令(以下「令」という。)第129条第3項第1号に規定する方法を用いる場合における同号イに規定する当該居室に存する者(当該居室を通らなければならない者を含む。以下「在室者」という。)の全てが当該居室において火災が発生してから当該居室からの避難を終了するまでに要する時間は、次に掲げる時間を合計して計算するものとする。
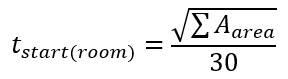
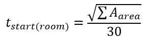
イ 次の式によって計算した火災が発生してから在室者が避難を開始するまでに要する時間(以下「居室避難開始時間」という。)(単位 分)

 式1.jpg

 この式においてtstart(room)及びAareaは、は、それぞれ次の数値を表すものとする。
 tstart(room):居室避難開始時間(単位 分)
 Aarea:室及び当該居室を通らなければ避難することができない建築物の部分(以下「該居室等」という。)の各部分の床面積(単位 ㎡)

 Aareaについて、「避難安全検証法(時間判定法)の解説及び計算例とその解説(日本建築センター)P50」には以下のように解説されています。

 定義に示されているように、検討の対象としている居室を通らなければ避難できない部分がある場合には、その部分の面積を含めた合計に基づいて居室避難開始時間を算定する。すなわち図1のように居室内にある居室部分(A2A3)を含めた全体を当該居室等として扱う。尚、A2A3が非居室(避難経路である部分を除く)である場合には当該居室等に含めなくてよい。

居室内居室(1).jpg1 居室避難開始時間の計算例1

 図2に示すように、居室A1の避難開始時間を算定する場合、居室A1を通らずに避難することが可能な居室A3は当該居室等の部分に含まれない。

居室内居室(2).jpg2 居室避難開始時間の計算例2

 告示では「当該居室」に隣接する「当該室等」の扱いについてこのように解説されているのですが、ここでひとつの疑問が生じます。「当該室」に隣接しない「当該室」を通らなければ避難できない部分についても同じ扱いとなるのでしょうか。
 例えば、次の計画図のような場合です。

孫居室.jpg

 告示510号にはAareaの範囲を室及び当該居室を通らなければ避難することができない建築物の部分」と規定されています。したがって、居室A2・A3および避難経路となる廊下は、当該居室等に含まれると解釈できます。
 また、居室A2A3の避難開始が同時であるということは、居室A1で火災が発生した際、その火災情報が居室A1と同時に居室A2A3の在室者にも伝達されることを前提としていることを意味します。

孫居室 (2).jpg

 ところが、上図のように、当該室に隣接する子室とさらに隣接する孫室がある場合、防災計画上では、子室への火災情報の伝達は早いものの、孫室への伝達は遅れるとされるのが一般的です。そのため避難安全検証法施行当時から多くの防災設計者がこの解釈を問題視してきました。
 煙高さ判定法(ルートB2)ではこの問題に対応するために、孫室以下の室が設置されている場合には、居室避難開始時間に3分が加算し、階全体の避難開始時間と同一見なすようにされています。上図の居室(1)で出火した場合、居室(1)が非常に広く、かつ天井高さが十分確保されているか、強力な排煙設備が設定されていない限り、居室安全性能を確認することは困難となります。
 一方、避難時間判定法(ルートB1)にはこのような制限はなく、設計者が計画段階で十分に配慮する必要があるのです。

居室避難開始時間を決定する要素

 居室の避難開始時間は、前述のとおり「当該室等」の面積によって決定されます。
 設計者の中には、火災報知設備の発報時間を避難開始時間として利用したいと考える方もあるようですが、それには、大臣認定(ルートC)の取得が必要です。

告示や解説書に記載された検証方法は完璧ではない

 告示に示されているのは、すべての建築計画に対応できる万能な検証方法ではありません。また、唯一の公式解説書である『避難安全検証法(時間判定法)の解説及び計算例とその解説』(日本建築センター発行)にも、あくまで基本的な考え方と手順が示されているだけで、すべての計画条件を網羅しているわけではありません。
 そのため、特定の条件における解釈や扱いに疑問が生じた場合は、上位法令である建築基準法施行令の趣旨に立ち返って判断することが適切です。今回取り上げた孫室の扱いについても、検査機関によって解釈が分かれることが少なくありません。しかし、施行令の理念に基づいて整理することで一貫した判断が可能になります。
 建築基準法施行令第百二十九条には、次のように規定されています。

2 前項の「階避難安全性能」とは、当該階のいずれの火災室で火災が発生した場合においても、当該階に存する者(当該階を通らなければ避難することができない者を含む。次項第一号ニにおいて「階に存する者」という。)の全てが当該階から直通階段の一までの避難(避難階にあつては、地上までの避難)を終了するまでの間、当該階の各居室及び各居室から直通階段(避難階にあっては、地上。以下この条において同じ。)に通ずる主たる廊下その他の建築物の部分において、避難上支障がある高さまで煙又はガスが降下しないものであることとする。

 つまり、「階避難安全性能」とは、階内のどの室で火災が発生しても、その階に存在するすべての居室および各居室から直通階段に至る経路において、煙に曝されることなく避難できる性能を指します。
 この考え方を踏まえると、孫室の取り扱いについても自ずと適切な解釈が導かれ、安全性に配慮した建物が実現できるはずです。

 本サイトの「避難安全検証法について」では、避難安全検証法の基本的な考え方や仕組みを解説しています。まずはこちらをご覧いただき、基礎的な知識を身につけてください。
 株式会社九門は、避難安全検証法をより身近に、より実務で活用していただくことを目的として、SED(避難安全検証自動計算システム)を開発しました。避難安全検証法の基本を理解していれば、SEDの運用は決して難しくありません。
 SEDでは、避難時間判定法(ルートB1)の検証で入力したデータを、検証方法を切り替えるだけで煙高さ判定法(ルートB2)にもそのまま利用できます。室や開口部をオブジェクトとして扱い、CAD感覚で直感的にデータを入力できる点もSEDの特長です。ぜひSEDを活用し、避難安全検証法を日常の設計業務に取り入れてください。30日間の無料トライアルをご用意しています。ぜひ一度お試しください。

建物に携わる皆様へ
永く愛される建物づくりを、
SEDシステムがサポートします

ライセンス購入